2021. március 19., péntek

Matematika - 2021. 03. 19.

 Sziasztok!

A tegnapi feladatok megoldásait köszönöm azoknak, akik küldték! Sajnos még mindig vannak, akik nem küldenek semmit!

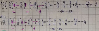
Ellenőrizd a tegnapi munkádat:



A mai napra még egy kis gyakorlást hoztam.
A következő feladatokat másold le a füzetedbe:



Az elkészített feladatokról a szokott módon küldj fotót az e-mail címemre!

Jó munkát!

Enikő néni


Nincsenek megjegyzések:

Megjegyzés küldése

Hahó hetedikesem! A mai napi feladat a következő: Írj le mindent, amit Erkel Ferencről tanultál! Térj ki a Bánk bán és a Hunyadi László című...